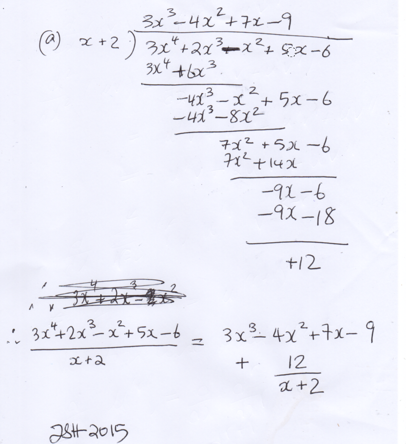
(1) Polynomial Division (synthetic division) Use synthetic division to perform each division
(a) $\displaystyle { 3x^4+2x^3-x^2+5x-6 \over x+2}$
(b) $\displaystyle { 2x^3+4x-5 \over x-3}$


This blog goes back a few years! while I was teaching in various schools in NSW, Australia. It contains a wide range of mathematics explanations, notes, and resources covering secondary-level mathematics topics. The easiest ways to navigate are by using the search bar or browsing through the labels/tags. If you find my content helpful and would like to support my work, a coffee donation is greatly appreciated — thank you!


No comments:
Post a Comment