SEARCH THIS BLOG :-)

Tuesday, 18 April 2023

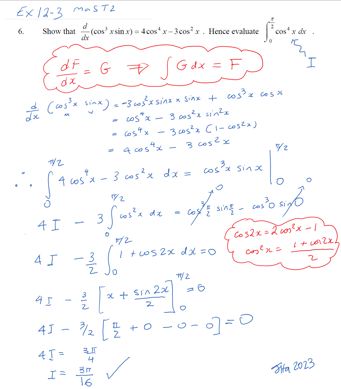
Example of differentiate, hence integrate

 

No comments:

Post a Comment