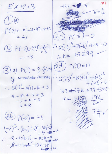
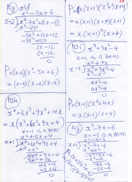
This blog goes back a few years! while I was teaching in various schools in NSW, Australia. It contains a wide range of mathematics explanations, notes, and resources covering secondary-level mathematics topics. The easiest ways to navigate are by using the search bar or browsing through the labels/tags. If you find my content helpful and would like to support my work, a coffee donation is greatly appreciated — thank you!

















